"Tankid EKV-le"

Vasta
alban
Liige
Postitusi: 1229
Liitunud: 11 Veebr, 2005 17:01
Kontakt:

Re: Tankid EKV-le?

Postitus Postitas alban »

Kapten Trumm kirjutas:Need 77 Ungari tanki ei maksnud 3 miljonit tükist, selle 4.5 miljoniga 77 masina peale asi piirdus, sõidavad seal niisamuti.
Nüüd loeme läbi lepingu ja saame teada mida 4,5 miljonit taala sisaldas - töid ja kontrolli, et masin oleks võimeline vanarauaplatsilt liikuma. Mingeid sisulisi uuendusi selle eest ei tehtud. Seega Ida-Euroopast Eestile tanki ostmine tähendab kulutusi: masina hind X + sõidukorda seadmise hind Y + uuendamise kulu Z = lõpphind. Ja see summa mis sealt välja tuleb ei ole mõistlik.

Leping millest rääkisin on siin: http://www.wired.com/images_blogs/dange ... ntract.pdf
Kasutaja avatar
Kapten Trumm
Liige
Postitusi: 44065
Liitunud: 28 Juul, 2005 15:35
Kontakt:

Re: Tankid EKV-le?

Postitus Postitas Kapten Trumm »

Kas ma väitsin, et see 4,5M USD 77 masina peale sisaldas uuendusi?
Uuendamise ulatus on optional, funktsioneerivat asja saab ka mõnesaja tuhande euroga tükist.
Arvan, et lähimad 10-15a käravad meile ka sellisel tasemel asjad nagu Gruusial on, kui raha vähevõitu (täna on vähevõitu, näe tankidele ei jätku ju).
Analoogsetelt Ungari platsidelt läksid 2005 "pauku tegevad" tankid Iraagi armeele, 77 tanki lahingukorda remontimine maksis 4.5 miljonit dollarit. Tankid olid tasuta, remondi maksis Iraak. Kes kohale vedas, ei tea. Ühe funktsionaalse tanki hind 58 000 dollarit ehk 43 000 eurot. Ma ei tulista neid arve sugugi lambist. Lahingukorras, nõuka ajastu vilede ja tuledega on ühe masina hind ca 50 000 eurot.
"Lahingukorras" on muidugi suhteline mõiste, kuid see ei tähenda ka alati viimase kopika Krauss-Maffei kassasse viimist.
5 miljonit eurot maksva top-end uuenduste ja 50 000 eurot maksvate sõidukorras platsitankide vahel on ka terve rida vahepealseid variante.

Lisaks: on täiesti väär ja erapoolik hakata ilma mingite tõenditeta väitma, et töö, mida tehti 50 000 euro eest, oli pakasuhha ning Iraagi armee ei saanud neid masinad kasutada.
Usun, et Iraagi armee kompetents tankiasjanduses ületab meid mäekõrguselt.
/Veelgi hullem on see, et koos kohustusliku patriootliku riigioptimismi kehtestamisega nõrgeneks paratamatult ka meie ohutaju, mis on enesealalhoiuks vältimatult vajalik instinkt/ S. Mikser 2014.
andrus
Liige
Postitusi: 4741
Liitunud: 02 Juul, 2004 11:39
Kontakt:

Re: Tankid EKV-le?

Postitus Postitas andrus »

Kes siin väidab, et 77 tanki korrastamine maksis 4,5 milj. $?

Wikis on ju selgelt kirjas, et "estimated". Kapten Trumm ise andis meile lahkelt viite: http://www.wired.com/2008/07/someday-there-w/
It’s unclear what the final status of these 77 tanks is, but in 2006, Defense Solutions cited the contract as being successfully completed. The total cost to Iraq to refurbish the decades-old tanks? Confidential.
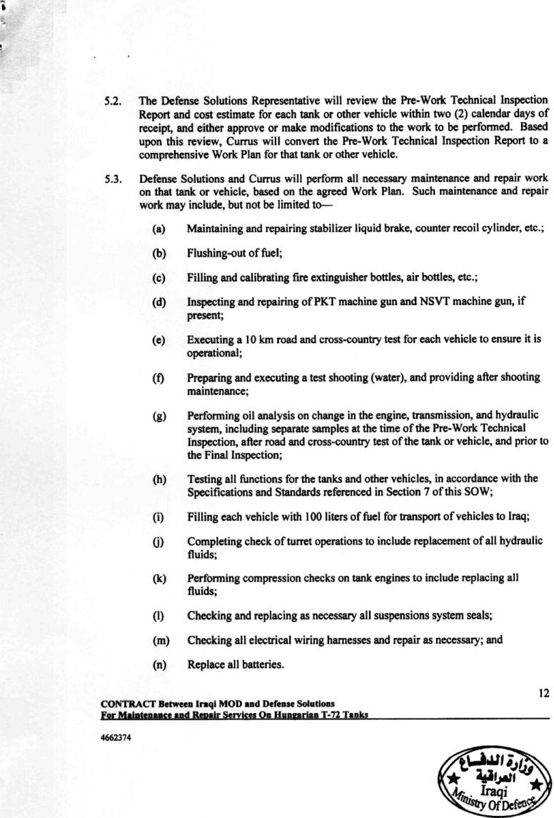
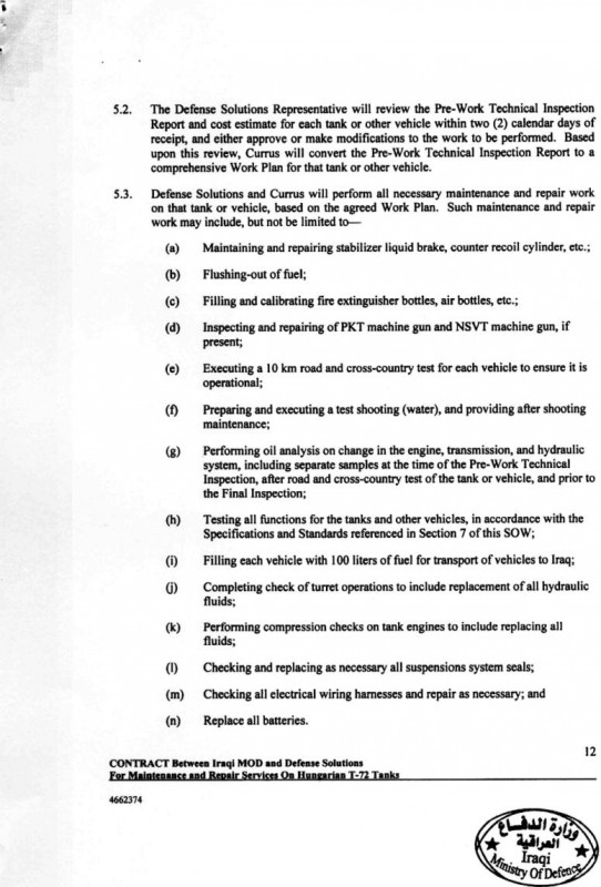
Tehtavate tööde (esialgne) nimekiri on siin:
defense_solutions_tank_contract_12.jpg
Kasutaja avatar
Kapten Trumm
Liige
Postitusi: 44065
Liitunud: 28 Juul, 2005 15:35
Kontakt:

Re: Tankid EKV-le?

Postitus Postitas Kapten Trumm »

http://www.defenseindustrydaily.com/reb ... army-0556/
Lisaks pole ma "lahkelt" seda viidet wired.com kodulehele andnud.

Lisaks põhinevad siin need "tehti kuidagi" jutud sellel, et algmaterjal oli "maha kantud".
Arvan, et need sõjavarude tankid allusid kindaltele reeglitele korrashoiu kohta ning probleemid, mis seal olid (tihendid, hüdraulika) olid tingitud pikast seismisest, mitte masinate kulumisest.
/Veelgi hullem on see, et koos kohustusliku patriootliku riigioptimismi kehtestamisega nõrgeneks paratamatult ka meie ohutaju, mis on enesealalhoiuks vältimatult vajalik instinkt/ S. Mikser 2014.
andrus
Liige
Postitusi: 4741
Liitunud: 02 Juul, 2004 11:39
Kontakt:

Re: Tankid EKV-le?

Postitus Postitas andrus »

Kui sinu antud viites on punkti "Additional Readings" all veel üks viide (WIRED Danger Room (July 10/08) – Weldon’s Firm Made Defective-Tank Deal With Iraq), kas siis see ei kvalifitseeru sinu antud viiteks? Mina arvan, et kvalifitseerub küll.
Iseasi, kas tõesti sellist viidet lahkelt anda tahtsid - vast oleksid ära kaotanud, kui oleks võimalik olnud :)
Kasutaja avatar
Kapten Trumm
Liige
Postitusi: 44065
Liitunud: 28 Juul, 2005 15:35
Kontakt:

Re: Tankid EKV-le?

Postitus Postitas Kapten Trumm »

Vaata, asi sõltub kontekstist.
Tegelane mx77 hakkas väitma, et 42 000 euroga (oli üks viide ühele tankide müügisaidile, kus pakuti sõidukorras, kuid deaktiveeritud pearelvaga (ja ilmselt eemaldatud kuulipildujatega) T-72 tanke Tsehhi varudest - ei saa "pauku tegevat" tanki.
Tuli välja, et saab küll, sinu kopitud lepingus oli lausa proovitulistamine sees.
Vaidlusteema ei olnud see, kas 50 000 eurone tank meile kõlbaks, vaid see, et selles hinnaklassis tankid sõidavad, omavad veel kasutatavat ressurssi ning funtktsioneerivad.
Keegi pole väitnud, et see 50 000 eurot on üks hea ja uus masin, vaid käsitlege kui näidet, et sõitvad ja tulistamisvõimelised tankid maksavad üllatavalt vähe.
Mina julgesin "remondipakette" pakkuda eespool paarisaja tuhande euro kanti ning elektroonika uuendamist mõnesaja tuhande euro kanti (Gruusia näide).
Seega, keskpärase, ära remonditud ja uue elektroonikaga varustatud vene T-72 tanki maksumus võib tulla sinna 700 000 tuhande tuuri.
Selle eest saab midagi sellist, mis Gruusial on nime T-72SIM all.
Selles osas jään oma arvamuse juurde. Selle loogika järgi, et sobib vaid parim, võiks täna 90% EKV relvastusest prügimäele viia ja poe kinni ära panna.
/Veelgi hullem on see, et koos kohustusliku patriootliku riigioptimismi kehtestamisega nõrgeneks paratamatult ka meie ohutaju, mis on enesealalhoiuks vältimatult vajalik instinkt/ S. Mikser 2014.
mx77
Liige
Postitusi: 1452
Liitunud: 15 Jaan, 2010 20:36

Re: Tankid EKV-le?

Postitus Postitas mx77 »

Kapten Trumm kirjutas:
OK, siis jäid need tankid raha puudusel moderniseerimata ja me kõik teame mis neist edasi sai.
Ons eestil sellist tõeses sõnas vanarauda üldse vaja?
"Kõik me teame, mis neist edasi sai". :lol:
Mida sina õige tead?
Ja mida sina ka õige tead?
Iga issanda jumala päev, paistab päike või sajab vihma üle 3 postituse päevas, sul mingi muu elu ka on? Sinu tarkus põhineb selle mis google sulle ette viskab.
toomas tyrk See peab ikka üks meeletu edevus ning hea enesearvamus olema, mis sunnib sellist möla sellistes kogustes tootma. Siis nüüd tekib üha rohkem ja rohkem tunne, et ju ikka keegi maksab selle eest.
mutionu
Liige
Postitusi: 1468
Liitunud: 08 Nov, 2005 15:52
Asukoht: Pärnu
Kontakt:

Re: Tankid EKV-le?

Postitus Postitas mutionu »

mx77 kirjutas: Ja mida sina ka õige tead?
Iga issanda jumala päev, paistab päike või sajab vihma üle 3 postituse päevas, sul mingi muu elu ka on? Sinu tarkus põhineb selle mis google sulle ette viskab.
Siis võiks vast pool foorumit kinni panna. Paljuke siin Eestimaal ikka neid inimesi on, kes on, päriselt, tankiga sõitnud ja hävitajaga lennanud.
Kasutaja avatar
Troll
Liige
Postitusi: 3172
Liitunud: 08 Okt, 2004 16:59
Asukoht: Viljandi
Kontakt:

Re: Tankid EKV-le?

Postitus Postitas Troll »

OK, rahu nüüd, ärge minge isiklikuks!
Hea võidab alati kurja - kes võidab, see ongi hea!
alban
Liige
Postitusi: 1229
Liitunud: 11 Veebr, 2005 17:01
Kontakt:

Re: Tankid EKV-le?

Postitus Postitas alban »

Kapten Trumm kirjutas:Kas ma väitsin, et see 4,5M USD 77 masina peale sisaldas uuendusi?
Uuendamise ulatus on optional, funktsioneerivat asja saab ka mõnesaja tuhande euroga tükist.
Iraak lõi T-72 baasil oma T-91 versiooni. Uus mootor, soomuse tugevdamine, uus tulejuhtimis- ja sidesüsteem ning eeltoodud uuenduste hind 3 miljonit USD per masin.
Loomulikult Ida-Euroopa laoplatsilt võetud ja käima aetud T-72 on tank aga ta ei ole sellise kvaliteediga tank millega vastu minna potentsiaalse vastase tankiüksusele, selleks, et ta oleks vastase uuendatud tehnikaga võrreldav, on vaja teha tema uuendamiseks kulutusi. Nimetatud uuendused on nii kallid, et selle asemel on mõistlikum osta (sellises mahus) uuendamist mittevajav masin mille elukaar on pealegi veel pikem.
Eesti ei ole nii rikas, et osta poolkõva asi. Kui me ostame poolkõvad tankid, siis pead arvestama, et lähikümnenditel meil paremate tankide ostuks raha enam ei ole. Ning kui liita siia juurde veel uuendamise vajadus, siis on selge, et me peame ostma kohe korraliku asja, sest odavaks asjaks meil raha ei ole.

Viide Iraagi masinate uuendamise maksumusele: http://www.strategypage.com/htmw/htarm/ ... 90115.aspx
tommy
Liige
Postitusi: 3643
Liitunud: 02 Veebr, 2005 20:50
Asukoht: Eesti
Kontakt:

Re: Tankid EKV-le?

Postitus Postitas tommy »

Nagu ikka kaitsehangetes, pole asi ainult maksumuses.
Iga ostuotsuse langetamises mängivad rolli erinevad faktorid.
Hankehind, moderniseerimis-ja ülalpidamiskulud, väljaõppe küsimused, moona ja tagavaraosade kättesaadavus, süsteemi lahinguline võimekus.
Viimane peaks ehk olema tähtsamgi, kui näiteks esimene.

Kusagil platsi pealt ostetud kellegi vana T-72 pole sellisena lahingumasin.
Isegi, kui teatava remondiga mootori käima saad ja pearelvgi pauku laseb teha.
Võib kasutada muuseumis, sihtmärgina, eralõbudeks, demonstratsioonina jms.
Et saada toimivat võitlusüksust, on asi hoopis keerulisem ja paraku ka kallim.
Kasutaja avatar
kangelaspioneer
Liige
Postitusi: 1065
Liitunud: 30 Dets, 2004 13:13
Asukoht: Tallinn/Tapa
Kontakt:

Re: Tankid EKV-le?

Postitus Postitas kangelaspioneer »

tommy kirjutas:Nagu ikka kaitsehangetes, pole asi ainult maksumuses.
Iga ostuotsuse langetamises mängivad rolli erinevad faktorid.
Hankehind, moderniseerimis-ja ülalpidamiskulud, väljaõppe küsimused, moona ja tagavaraosade kättesaadavus, süsteemi lahinguline võimekus.
Viimane peaks ehk olema tähtsamgi, kui näiteks esimene.

Kusagil platsi pealt ostetud kellegi vana T-72 pole sellisena lahingumasin.
Isegi, kui teatava remondiga mootori käima saad ja pearelvgi pauku laseb teha.
Võib kasutada muuseumis, sihtmärgina, eralõbudeks, demonstratsioonina jms.
Et saada toimivat võitlusüksust, on asi hoopis keerulisem ja paraku ka kallim.
Toimiva võitlusüksuse saamiseks on vaja ennekõike inimesi, kes teavad, mida nad teevad. Neid inimesi ei saa ainult välismaale armeekooli saatmise kaudu, nad peavad tulema kohale, hakkama meeskonnana tööle, toimetama kohapealsetes tingimustes ning käsuliinis. Et üks sedavõrd tehniline üksus korralikult toimima hakkaks, on vaja veeta sadu tunde polügoonil, põrkuda kõigi mõeldavate probleemidega ja need lahendada. See protsess on odavam läbi teha nende 50k€ maksvate T-de kui tulitera Leodega. Vanaraua hinna saab veel pärast maha lahutada.
Ei ole mõtet hakata ajama soga erinevast tehnikast jne. Need on detailid, mis on ümber õpetatavad tundidega. Kes mossega sõita suudab, saab hakkama ka mersuga ning suudab neid tulevasi mersusõitjaid ise õpetada. Asja teine külg on, et nii tekib lõpuks ka tankide hankimiseks ekspertiis, mida meil täna napib või ei ole üldse.
Kogu see protsess on juba 10 aastat hiljaks jäänud, mille tulemusena on meie koolirahal kuus või enam nulli.
tommy
Liige
Postitusi: 3643
Liitunud: 02 Veebr, 2005 20:50
Asukoht: Eesti
Kontakt:

Re: Tankid EKV-le?

Postitus Postitas tommy »

See protsess on odavam läbi teha nende 50k€ maksvate T-de kui tulitera Leodega.
Misasjad on need tulitera Leod..??
Kas ca. 25 aastat vanad Leo A6-d, mida Soome endale 2mln. eest ostis...?
Või 30+ aastat vanad Leo A4-d, mida ikka veel Saksa ladudes leidub..??

Protsess läheb kokkuvõttes kallimaks, kui alguses teha tsirkust mingi vanarauaga ja siis hakata mängima reaalse asjaga.
Lihtsam on kohe õppida õige tehnika peale.
Kasutaja avatar
kangelaspioneer
Liige
Postitusi: 1065
Liitunud: 30 Dets, 2004 13:13
Asukoht: Tallinn/Tapa
Kontakt:

Re: Tankid EKV-le?

Postitus Postitas kangelaspioneer »

tommy kirjutas:
See protsess on odavam läbi teha nende 50k€ maksvate T-de kui tulitera Leodega.
Misasjad on need tulitera Leod..??
Kas ca. 25 aastat vanad Leo A6-d, mida Soome endale 2mln. eest ostis...?
Või 30+ aastat vanad Leo A4-d, mida ikka veel Saksa ladudes leidub..??

Protsess läheb kokkuvõttes kallimaks, kui alguses teha tsirkust mingi vanarauaga ja siis hakata mängima reaalse asjaga.
Lihtsam on kohe õppida õige tehnika peale.
Paned kalkulatsiooni kõrvale?
tommy
Liige
Postitusi: 3643
Liitunud: 02 Veebr, 2005 20:50
Asukoht: Eesti
Kontakt:

Re: Tankid EKV-le?

Postitus Postitas tommy »

Paned kalkulatsiooni kõrvale?
Kas sa ei peaks ikka ise alustama..??
Vasta

Kes on foorumil

Kasutajad foorumit lugemas: Registreeritud kasutajaid pole ja 1 külaline