700m relvaks TP2, on võimalik küll lasta.
Snaipritegevus on väga efektiivne võitlusviis
- Kilo Tango
- Liige
- Postitusi: 10270
- Liitunud: 14 Aug, 2008 15:40
- Kontakt:
Re: Snaipritegevus on väga efektiivne võitlusviis
KL õpetas välja ka UKR snaipreid ja TL-e
https://www.err.ee/1608991217/kaitselii ... naipritele
https://www.err.ee/1608991217/kaitselii ... naipritele
Ainus, mida me ajaloost õpime, on see, et keegi ei õpi ajaloost midagi.
Live for nothing or die for something.
Kui esimene kuul kõrvust mõõda lendab, tuleb vastu lasta.
EA, EU, EH
Live for nothing or die for something.
Kui esimene kuul kõrvust mõõda lendab, tuleb vastu lasta.
EA, EU, EH
Re: Snaipritegevus on väga efektiivne võitlusviis
See väide, et aastas on vaja vähemalt 600 lasku täpsusrelva kohta trenni teha, on täiesti õige ja soovitavalt vähemalt kord kuus, et tekiks kogemus lasta erinevatel aastaaegadel erinevatele kaugustele. Ise soovitaksin vähemalt 1000 lasku aastas. Vormi hoidmiseks oleks vaja lasta aastas pool aktiivse teenistuse laskemoonast, nii see tavaliselt ka laskemoona kulutabelitesse on kirjutatud. Näiteks nii, et ajateenistuses 600 ja kordusõppusel 300. Kui lasta oluliselt vähem, siis kindlasti erialased oskused, mis ongi peamiselt kauguste ja ilmastiku mõju hindamine, kannatavad.
Selle täisfiguuri 5 lasu kobara 700 m pealt suudab lasta kogenud täpsuslaskur, kes pidevalt ja mitmekülgselt harjutab. 25 lasuga ei ole võimalik mingit sisulist laskeväljaõpet välja viia ja laskurina areneda, see on sisselaskmiseks ja relvaga harjumiseks vajalik minimaalne laskemoona kogus pooleks laskepäevaks. Kui rohkem laskemoona ei eraldatud, siis see näitab hästi, mida KV arvab TLidest ja täpsuslaskmisest üldse. Igasugu pläma ja ametlikud selgitused ongi pläma ja ametkondlikud selgitudes oma läbikukkumise põhjendamiseks. Täpsuslaskuri teema peale on Eestis sattunud suurel hulgal igasugu tegelasi, kes on küll kellegi sõbrad või teenistuskaaslased, kuid ise lasta ei oskagi, tavaliselt ei oska ka maastikul tegutseda, küll oskavad hästi igasugu tabelitesse ristikesi teha ja ülemuste ees lipitseda, sest paber kannatab kõike.
Soome Maaväe TLid käivad kordusõppusel alguses tiirus ja siis väljal ning siis metsas ja laskude arv on kolmekohaline. Skaudi snaiprid, kes Soome üritusel aastaid tagasi osalesid, kukkusid kolinal läbi ja soomlaste sisuline kommentaar oli, et jalaväelasena korralikud, kuid lasta ja varjatult tegutseda ei oska. Hiljem ei ole neid kutsutudki.
Soome MV snaiprite õpetamiseks on igas brigaadis mõned kaadriväelased, kes teemat sisuliselt jagavad. Kordusõppustele värvatakse reservist inimesi, kes teemat sisuliselt jagavad ja reservi snaipreid õpetavad koos kaadriga. Ma ei usu, et keegi KV juhtkonnast julgeb nendele sisulistele küsimustele vastata, esiteks sellepärast, et teema on suures pildis marginaalne ja teiseks kindralitel on valus tunnistada, et TL ja SN erialadega on aastaid suhteliselt suvaliselt toimetatud, vormiliselt nagu oleks, kuid sisuliselt on mäda.
Lugupeetud Kilo Tangol on mõistlik lasta pojal nõuda eriala vahetust, sest koolitamata võitleja saab kindlasti kiiremini otsa kui koolitatud võitleja, mis oleks kindlasti halb nii perekonna kui rahvuse seisukohast. KLis võib ka lisakoolitust saada, kui satub malevasse, kus sisuliselt TL ja SN teemat jagatakse ja tehakse. Tegelikult ei ole Eestis ega ka Soomes ühtegi võitlejat raisata, sellepärast on halvasti koolitamine sisuliselt kuritöö oma rahvuse vastu, niimoodi Soomes asjasse suhtutakse ja kaader ning reservi plemad pingutavad kõvasti. Soomes on ka nüüd ajateenijate lõpufaasi ja kordusõppuste aeg.
Selle täisfiguuri 5 lasu kobara 700 m pealt suudab lasta kogenud täpsuslaskur, kes pidevalt ja mitmekülgselt harjutab. 25 lasuga ei ole võimalik mingit sisulist laskeväljaõpet välja viia ja laskurina areneda, see on sisselaskmiseks ja relvaga harjumiseks vajalik minimaalne laskemoona kogus pooleks laskepäevaks. Kui rohkem laskemoona ei eraldatud, siis see näitab hästi, mida KV arvab TLidest ja täpsuslaskmisest üldse. Igasugu pläma ja ametlikud selgitused ongi pläma ja ametkondlikud selgitudes oma läbikukkumise põhjendamiseks. Täpsuslaskuri teema peale on Eestis sattunud suurel hulgal igasugu tegelasi, kes on küll kellegi sõbrad või teenistuskaaslased, kuid ise lasta ei oskagi, tavaliselt ei oska ka maastikul tegutseda, küll oskavad hästi igasugu tabelitesse ristikesi teha ja ülemuste ees lipitseda, sest paber kannatab kõike.
Soome Maaväe TLid käivad kordusõppusel alguses tiirus ja siis väljal ning siis metsas ja laskude arv on kolmekohaline. Skaudi snaiprid, kes Soome üritusel aastaid tagasi osalesid, kukkusid kolinal läbi ja soomlaste sisuline kommentaar oli, et jalaväelasena korralikud, kuid lasta ja varjatult tegutseda ei oska. Hiljem ei ole neid kutsutudki.
Soome MV snaiprite õpetamiseks on igas brigaadis mõned kaadriväelased, kes teemat sisuliselt jagavad. Kordusõppustele värvatakse reservist inimesi, kes teemat sisuliselt jagavad ja reservi snaipreid õpetavad koos kaadriga. Ma ei usu, et keegi KV juhtkonnast julgeb nendele sisulistele küsimustele vastata, esiteks sellepärast, et teema on suures pildis marginaalne ja teiseks kindralitel on valus tunnistada, et TL ja SN erialadega on aastaid suhteliselt suvaliselt toimetatud, vormiliselt nagu oleks, kuid sisuliselt on mäda.
Lugupeetud Kilo Tangol on mõistlik lasta pojal nõuda eriala vahetust, sest koolitamata võitleja saab kindlasti kiiremini otsa kui koolitatud võitleja, mis oleks kindlasti halb nii perekonna kui rahvuse seisukohast. KLis võib ka lisakoolitust saada, kui satub malevasse, kus sisuliselt TL ja SN teemat jagatakse ja tehakse. Tegelikult ei ole Eestis ega ka Soomes ühtegi võitlejat raisata, sellepärast on halvasti koolitamine sisuliselt kuritöö oma rahvuse vastu, niimoodi Soomes asjasse suhtutakse ja kaader ning reservi plemad pingutavad kõvasti. Soomes on ka nüüd ajateenijate lõpufaasi ja kordusõppuste aeg.
- Chupacabra
- Liige
- Postitusi: 3910
- Liitunud: 25 Juun, 2014 15:25
- Kontakt:
Re: Snaipritegevus on väga efektiivne võitlusviis
Aga miks poiss KLiga ei liitu? Saaks lasta nii palju kui tahab.Kilo Tango kirjutas: ↑28 Mai, 2023 11:14 Ma ei tea, kuhu seda postitada. Mõtlesin siia, aga ehk adminnid liigutavad paremasse kohta. Väga tahaks, et akf Herem ja Palm seda loeksid ja lõpuks midagi ette võtaksid.
Mina, isana, olen pärast Kevadtormi väga nördinud ja kuri. Miks? Poeg on staabikaitse TL ja selle pealt, mis mina kuulen, saab ta päris konflikti esimeses lahingkontaktis ilmselt surma. Selgitan:
1. Kevadtormil anti tellidele igaühele 25 lasku. Arvestades, et mehed pole 2 aastat püssi kätte saanud, on see pehmelt öeldes naeruväärne. Eriti selles kontekstis, et tegemist on 2020/2021 aastakäigu poistega, kes said niigi tiirus vähe lasta. USA normid näevad ette vähemalt 600 lasku. Taseme hoidmise kohta vajalikku infot ei õnnestunud leida, kuid see on kindlasti suurem, kui 25 lasku kord kahe aasta jooksul. Ja sellestki 25-st kulus valdav osa relva rihtimisele, kuna esimesed lasud jooksid sihikupildist täiesti välja ja ilma tabamiskohta nägemata on raske korrektsioone teha.
2. Kevadtormil ei toimunud aktiivset drooniluuret. Ainus droon oli üksuses olnud ühe jaoülema isiklik, kust vaadati, kuidas positsioonid välja näevad. Selles kontekstis muutub kõik see jutt, et "õpime Ukrainast" suhteliselt mõttetuks.
3. Tellidele ei õpetatud sisuliselt mitte midagi uut. Lasti neil võtta positsioone, mis paistavad ülalt väga hästi kätte ja on ilmsed (silohoidla peal rehvide vahel). Kas tõesti ei õpita Ukrainast mitte midagi taktikalist?
Sellega seoses on on mul VÄGA tungivad ja isiklikult valusad küsimused EKV juhtidele:
1. Miks tegeletakse sellise asendustegevusega?
2. Millal hakatakse TL-de väljaõpet tõsiselt võtma?
3. Mis on viga minu varasemal ettepanekul, et TL-d võiks saada vähemalt võimaluse omal initsiatiivil EKV kulude eest käia lasketiirus laskmas teatud normi ulatuses? Miks üldse koolitatakse TL-e, kui neid ei viida vajaliku tasemeni ja siis seda taset ei hoita?
4. Miks kasutatakse TL-de laskeharjutustel überkallist snaiprimoona, kui nende relvade puhul ei ole tegelikult mingit vahet. Oluline on hoopis relva ja laengu sobivus.
- Kilo Tango
- Liige
- Postitusi: 10270
- Liitunud: 14 Aug, 2008 15:40
- Kontakt:
Re: Snaipritegevus on väga efektiivne võitlusviis
1. Kõik reservväe tellid ei liitu mitte kunagi KL-ga.Chupacabra kirjutas: ↑29 Mai, 2023 16:13Aga miks poiss KLiga ei liitu? Saaks lasta nii palju kui tahab.
2. Rakendusfüüsika tudengitel ei ole enamasti aega selliste naljade jaoks. Ma võin sulle saata paar pilti mõnest tema õpikust (kvantmehhaanika näiteks) kui on vaja veenda, et selle kõrvalt ei jää KL-i jaoks aega.
Ehk siis - ärme juhi juttu probleemist kõrvale konkreetse isiku peale. 25 lasku telli väljaõppeks on väga vähe.
- Chupacabra
- Liige
- Postitusi: 3910
- Liitunud: 25 Juun, 2014 15:25
- Kontakt:
Re: Snaipritegevus on väga efektiivne võitlusviis
Kui ma nüüd õigesti aru sain, siis 25 lasku polnud mitte väljaõppeks, vaid oskuste värskendamiseks.
Re: Snaipritegevus on väga efektiivne võitlusviis
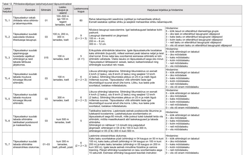
Akf Kilo Tango küsimusele ei oska muud moodi kaasa elada, kui sirvides "Laseväljaõppe eeskirja" 2020. aastast. Kuna tegemist oli kindlasti võõra relvaga, siis oleks pidanud algama tutvus normaaljooksule seadmisega. Seejärel siis oskuste värskendamine. 7,62 mm täpsusrelva puhul on numbrid sellised.
https://mil.ee/wp-content/uploads/2020/ ... eskiri.pdf
https://mil.ee/wp-content/uploads/2020/ ... eskiri.pdf
Re: Snaipritegevus on väga efektiivne võitlusviis
Vabandan, sest ise ei ole "kotkasilmne"...,Kilo Tango kirjutas: ↑29 Mai, 2023 16:45 ...
1. Kõik reservväe tellid ei liitu mitte kunagi KL-ga.
2. Rakendusfüüsika tudengitel ei ole enamasti aega selliste naljade jaoks. Ma võin sulle saata paar pilti mõnest tema õpikust (kvantmehhaanika näiteks) kui on vaja veenda, et selle kõrvalt ei jää KL-i jaoks aega.
Ehk siis - ärme juhi juttu probleemist kõrvale konkreetse isiku peale. 25 lasku telli väljaõppeks on väga vähe.
kuid akf tõi nüüd küll ise sisse konkreetse isiku.
Kindlasti on telle, kes on liitunud KL-ga ja tean inimesi, kes teadus- ja õppejõutöö kõrvalt osalevad väga tihedasti KL väljaõppes.
Ei ole vaja pahandada eelnenud akf-i ettepeneku peale, sest ta soovitas võimalikku abivarianti, vaid piiruda ise just ja ainult selle VÄGA TÕSISE PROBLEEMI esile tõstmisega.
Repliigile pole vaja vastata.
Paljude raamatute lugemine teeb inimese palju lugenud isikuks, kuid ei pruugi teha teda targaks...
Re: Snaipritegevus on väga efektiivne võitlusviis
Kas see üks üks eduelamus paljude ebaõnnestumiste seas, või reegel? Ehk et grupp on ilus küll, aga kõigil kes rohkem lasevad on välja tuua neid ilusaid pisikesi gruppe ebamõistlikult suurtel kaugustel. Mulgi on telefonis paar 5.56 kaliibriga lastud 5-lasulisi 0,5-0,6 moaseid @400 m, samasuguseid 600-700 pealt .308-ga, jne. Aga mõnikord lihtsalt planeedid joonduvad. Küsimus on selles et kas see on relvasüsteemi (so relv, sihik ja moon kokku) ja laskuri tavapärane või erakordne tulemus. See kuhu siin rihitakse, on see et M14-ga on sellised tulemused kaugemal kui 400...500 m kas tunnistuseks laskurile kes on lasknud selle relvaga pikalt ja piisavalt ja on relva ka kuidagimoodi stabiilseks tuuninud, või lihtsalt joppamise värk. M14 baseline iseenesest on 2-4 MOA tavamoonaga. Mu enda M14 on Lapua 12g scenariga headel päevadel jooksnud ka moa piiril, kuid see ei ole miski millele saan alati kindel olla.
Lihtsalt kõrvalepõikeks. Relva efektiivseks tuleulatuseks loetakse tootjate poolt kaugust, mille piires saab (laskuri poole jooksvale) täisfiguurile pihta vähemalt 50% tõenäosusega. Ehk et sihtmärgi likvideerimiseks mitte väga stressirohkes olukorras kulub kuni kaks padrunit. Tänase normaalse 7.62 NATO kal relva, ma kui vana iselaadivate relvade fänn pean neid ennekõike silmas, jaoks on see ca 800 m. Scar H, HK G28 või 417 üldse, Bren 2 BR ja DMR, nendega on see õnnestunud niipalju kui neid lasknud olen. M14-ga... või Galil SN-ga... jah saab, siin on isegi Galilil eelis stabiilsuses, kuid M14 on ikka õudselt kapriisne asi.
Väljaõppele hüpates, ma tahaks öelda et selles valdkonnas on küll KL piires maleval ja maleval (või ringkonnal) siiski vahe sees. Et ei ole samasugune igal pool. Ma lõunas toimuva ja selles osalevate üle olen päris uhke.
Täiendan: loomulikult peaks TL aastane läbilase olema kolmekohaline. See ei pea olema tingimata ainult distantside laskmine, ka 100 peale laskmine ,kui muud ei saa, on hea võimalus päästikuaja saamiseks. Kuigi ka distantse tuleb läbi lasta, harjumaks kõrgusparanduste ja ennekõike tuule lugemise ning kompenseerimisega. Nii teadaolevaid kaugusi kui tundmatuid kaugusi. Harjutuste valik sõltub saadaolevast distantsist, ka lühikesel on õpiväljundid kui harjutused on vastavad. Kas on TL-idele KLis eraldi laskmisi? Eks ise teate paremini kes sellega tegeleb. Kuid niisama ei tulegi keegi andma neid.
Viimati muutis Medusa, 29 Mai, 2023 21:42, muudetud 1 kord kokku.
Re: Snaipritegevus on väga efektiivne võitlusviis
See sobiks küll ehk M14 teema alla, aga arvan et siin on igati fine. Värske video 9hole reviews gängilt M21 osas, kus ka räägitakse M14 vs muud teemal.
Videolink Juutuubi
Videolink Juutuubi
- Kilo Tango
- Liige
- Postitusi: 10270
- Liitunud: 14 Aug, 2008 15:40
- Kontakt:
Re: Snaipritegevus on väga efektiivne võitlusviis
Ma ise ei ole TL ega koolitust saanud. Nii on siiski aja jooksul silma jäänud infot, et kui relva täpsus kõigub erinevate laskekordade vahel (ja sihik on kinni ja paigas), siis tuleb põhjust otsida moona sobivusest rauaga. Ei ole vaja mingit übermoona, vaid moon peab olema selline, millega laskmisel kuuli ja rauas edasi-tagasi käiva helilaine jõudmine suudmeni ei toimuks ühel ajal. Ei ole vaja midagi arvutada, vaid proovida erinevate temperatuuridega erinevaid mooni läbi lasta ja jääda nende juurde, mis toimivad. Sellest tulevad ka sellised "anomaaliad", kus üks relv laseb odavmoonaga paremini, kui mõni teine kallima otsa kraamiga.Medusa kirjutas: ↑29 Mai, 2023 18:53 ...
Mulgi on telefonis paar 5.56 kaliibriga lastud 5-lasulisi 0,5-0,6 moaseid, samasuguseid 600-700 pealt .308-ga, jne. Aga mõnikord lihtsalt planeedid joonduvad. Küsimus on selles et kas see on relvasüsteemi (so relv, sihik ja moon kokku) ja laskuri tavapärane või erakordne tulemus. ...
- Kilo Tango
- Liige
- Postitusi: 10270
- Liitunud: 14 Aug, 2008 15:40
- Kontakt:
Re: Snaipritegevus on väga efektiivne võitlusviis
Näitasin poisile seda tabelit. Esimene kommentaar oli, et liikuvat märki pole nad kunagi saanud lasta.kaur3 kirjutas: ↑29 Mai, 2023 17:36 Akf Kilo Tango küsimusele ei oska muud moodi kaasa elada, kui sirvides "Laseväljaõppe eeskirja" 2020. aastast. Kuna tegemist oli kindlasti võõra relvaga, siis oleks pidanud algama tutvus normaaljooksule seadmisega. Seejärel siis oskuste värskendamine. 7,62 mm täpsusrelva puhul on numbrid sellised.
https://mil.ee/wp-content/uploads/2020/ ... eskiri.pdf
...
Re: Snaipritegevus on väga efektiivne võitlusviis
See on see, miks ise laadijad väga palju vaeva näevad ja ajavadki moona relva jaoks paika. Esiteks et see rõhulaine oleks iga kord ühesugune. St sama laeng igas padrunis mis annab ka võimalikult vähe varieeruva algkiiruse, sama sisemahuga kest, ja palju muid detaile kui juuksekarva pooleks ajama hakata. Teiseks see juba öeldud ühtlus algkiiruses (muidugi ka kuulikaal). Siis tulebki kuul rauast välja samas lainepunktis ja välisballistika jaoks on iga lask võimalikult samasugune. Peen teadus. Kaitseväelasena saad lasta selle moonaga mida antakse. Erialaõpet saanuna laskur teab, et moonal ja moonal on vahe ning miks mõni kombo töötab paremini kui mõni teine. Samuti pole sise- ja välisballistika talle võõras. Ehk see köögipool siis. Kuid sellest hoolimata vähe saab valida. Hea kui ülem kuulab ja ajab parema moona välja, aga...Kilo Tango kirjutas: ↑29 Mai, 2023 21:10Ma ise ei ole TL ega koolitust saanud. Nii on siiski aja jooksul silma jäänud infot, et kui relva täpsus kõigub erinevate laskekordade vahel (ja sihik on kinni ja paigas), siis tuleb põhjust otsida moona sobivusest rauaga. Ei ole vaja mingit übermoona, vaid moon peab olema selline, millega laskmisel kuuli ja rauas edasi-tagasi käiva helilaine jõudmine suudmeni ei toimuks ühel ajal. Ei ole vaja midagi arvutada, vaid proovida erinevate temperatuuridega erinevaid mooni läbi lasta ja jääda nende juurde, mis toimivad. Sellest tulevad ka sellised "anomaaliad", kus üks relv laseb odavmoonaga paremini, kui mõni teine kallima otsa kraamiga.Medusa kirjutas: ↑29 Mai, 2023 18:53 ...
Mulgi on telefonis paar 5.56 kaliibriga lastud 5-lasulisi 0,5-0,6 moaseid, samasuguseid 600-700 pealt .308-ga, jne. Aga mõnikord lihtsalt planeedid joonduvad. Küsimus on selles et kas see on relvasüsteemi (so relv, sihik ja moon kokku) ja laskuri tavapärane või erakordne tulemus. ...
Re: Snaipritegevus on väga efektiivne võitlusviis
Kahju, me oma kursusel laseme need kõik läbi, lisaks veel natuke. Ju siis läbiviijate asi ka, et kellel kuidas. Eks sõltub ka võimalustest, muidugi.. alati ei saa kõike mida tahaks.Kilo Tango kirjutas: ↑29 Mai, 2023 21:15Näitasin poisile seda tabelit. Esimene kommentaar oli, et liikuvat märki pole nad kunagi saanud lasta.kaur3 kirjutas: ↑29 Mai, 2023 17:36 Akf Kilo Tango küsimusele ei oska muud moodi kaasa elada, kui sirvides "Laseväljaõppe eeskirja" 2020. aastast. Kuna tegemist oli kindlasti võõra relvaga, siis oleks pidanud algama tutvus normaaljooksule seadmisega. Seejärel siis oskuste värskendamine. 7,62 mm täpsusrelva puhul on numbrid sellised.
https://mil.ee/wp-content/uploads/2020/ ... eskiri.pdf
...
Kes on foorumil
Kasutajad foorumit lugemas: Registreeritud kasutajaid pole ja 1 külaline